|
American Citizen on Sat, 09 Nov 2024 00:42:25 +0100
|
[Date Prev] [Date Next] [Thread Prev] [Thread Next] [Date Index] [Thread Index]
|
fitting double exponential curve fitting to data - Success!
|
- To: pari-users <pari-users@pari.math.u-bordeaux.fr>
- Subject: fitting double exponential curve fitting to data - Success!
- From: American Citizen <website.reader3@gmail.com>
- Date: Fri, 8 Nov 2024 15:42:17 -0800
- Delivery-date: Sat, 09 Nov 2024 00:42:25 +0100
- Dkim-signature: v=1; a=rsa-sha256; c=relaxed/relaxed; d=gmail.com; s=20230601; t=1731109340; x=1731714140; darn=pari.math.u-bordeaux.fr; h=subject:from:to:content-language:user-agent:mime-version:date :message-id:from:to:cc:subject:date:message-id:reply-to; bh=4hBbx6t7MRy/DoHFgaYdncsyWyeG8D2FcpZbuhqbl48=; b=Cb3e71xTXcpBHL14wEdQm8Ouo5ztCweafkJ26c8vkHmkNyvLxQNeR1ZooCZinlnzDC HHfRiuZfKlDWtlADgIGW3lA+ySb9+FpsbZVGT2iZtykWqv0TxXietWd6wcGLNOpV8kt8 zLrMr5p2vB87YLs04Pkazok59jLJ11Oqe2ZHAxvMoXpiUeOdXh0sr5F7pPYYxVmKMhWJ IZgIjHKcA5Es5vXtWACKno/w1XzVRc6gXotWDd2h+EP+NS3JAECFAXUnBRXz+E1RiGy3 O5H4NVnB68jnhKdhy4nmOhjKl5VNdxeRddrkrdeREQ+0x3bHENR3x13pEDPk+U1E+9g0 /0oA==
- User-agent: Mozilla Thunderbird
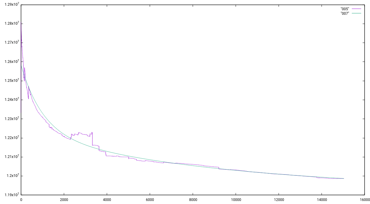
Hello all:
I am glad to report that using a technique originally developed by J
Jacquelin, documented at
https://math.stackexchange.com/questions/1428566/fit-sum-of-exponentials/3808325#3808325,
I was able to avoid computing the gradient and Hessian matrices and find
the answer directly to fitting data to the equation
y = a + b*exp(p*x) + c*exp(q*x)
I attached a png file showing how well this works.
Now I can efficiently estimate the regulator for some elliptic curves
who have a conductor so huge, it's not possible to directly compute the
L-series.
If you want, I can send you the GP-Pari code, just ask.
Randall
Attachment:
testing.png
Description: PNG image